🐕
【LeetCode】104. Maximum Depth of Binary Treeを解く
問題概要
二分木rootが与えられるので,最大の深さを求める.
ここで,最大の深さとは根から始まる最も長いパスに含まれるノードの数のことを指す.
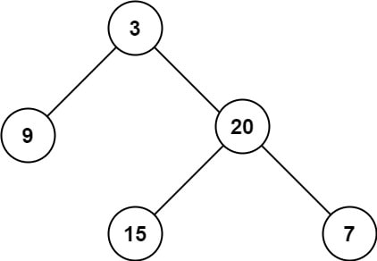
例えば,以下の例では「3→20→7」(「3→20→15」も可)のパスが最長となるため答えとして3を返せばi良い.

制約
- ノードの数
0 \leq N \leq10^4 - ノードの値
-11 \leq Node.val \leq 100
考えたこと
再帰的に実装する.
まず,ノードの数は0以上なのでroot = []のとき0を返すことが分かる.
また,root != []の場合を考えるとroot.leftとroot.rightのうち「パスが長い方の深さ+1」が答えとなる.
従って,以下のように実装すればよいことが分かる:
# Definition for a binary tree node.
# class TreeNode(object):
# def __init__(self, val=0, left=None, right=None):
# self.val = val
# self.left = left
# self.right = right
class Solution(object):
def maxDepth(self, root):
"""
:type root: TreeNode
:rtype: int
"""
if root is None:
return 0
return 1 + max(self.maxDepth(root.left), self.maxDepth(root.right))
Discussion