🍪
統計学実践ワークブック 例ノート
2024/10/06
に公開
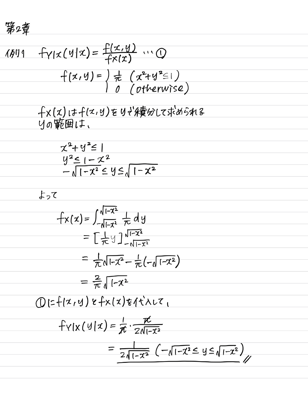
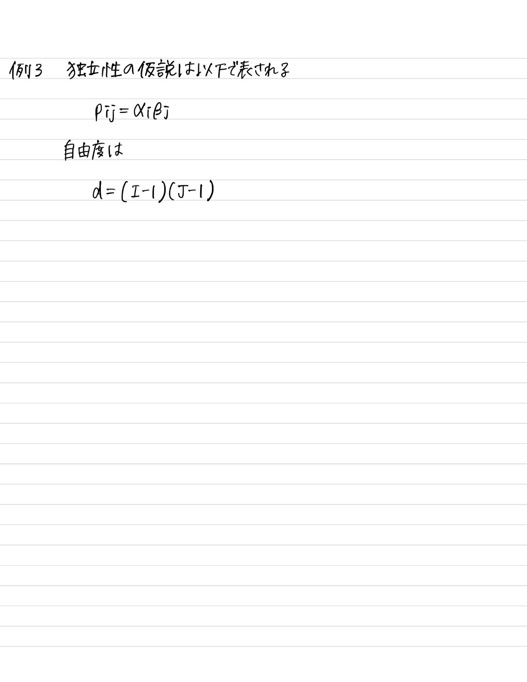
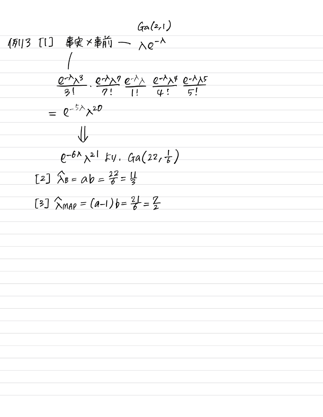
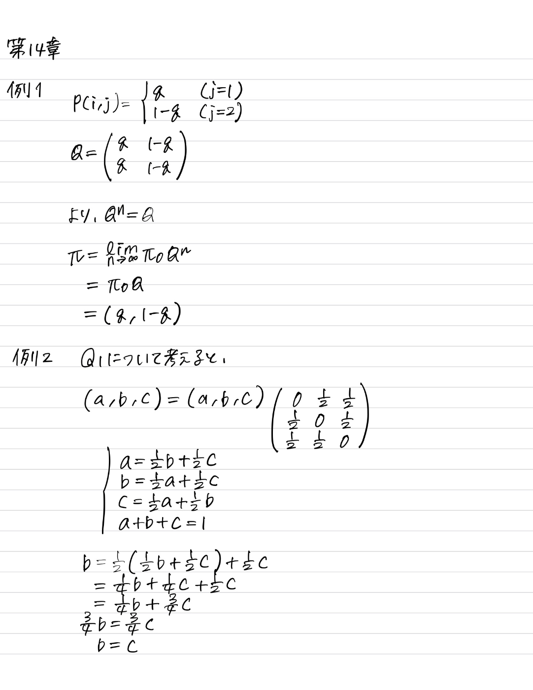
統計学
統計検定
統計検定準一級
idea
Discussion
Discussion