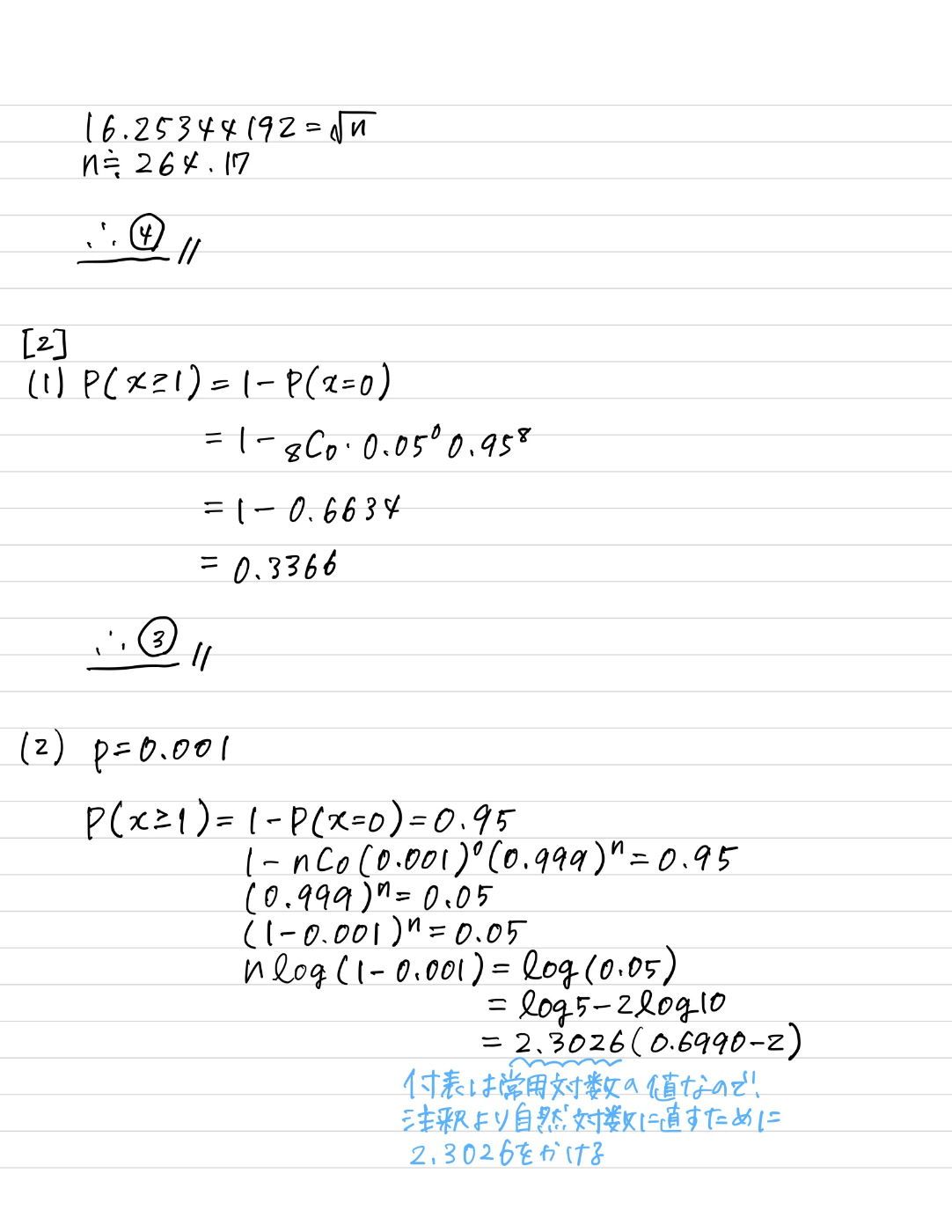
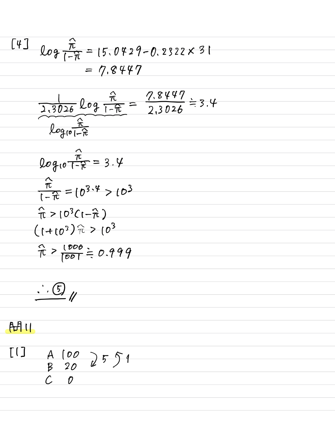
🧑⚕️統計検定準一級 過去問ノート(2019年6月)2024/07/16に公開統計検定統計検定準一級idea はじめに 個人的な過去問解答ノートの記録です。 (解けなかった問題は解答を見て書き、記述問題は省略) ノート Discussion
Discussion