🐕

Is OpenAI’s latest GPT-5 Most Advanced Model Yet?

に公開

OpenAI on Thursday announced GPT-5, a generational upgrade to its large-language models that the company says is “its smartest, fastest, and most useful model yet,” and which is being rolled into ChatGPT, the API and enterprise products. The release packages deeper reasoning, broader multimodal input (text, images, audio and video), and new agentic capabilities that allow models to carry out multi-step tasks on users’ behalf.

What GPT-5 is

GPT-5 is presented as a unified system that combines a default, efficient response model with a deeper “thinking” variant and a real-time router that selects the right component for each task. OpenAI describes this as allowing the system to “respond quickly” for routine queries and to spend extra compute—and more sophisticated reasoning—on harder, multi-step problems. The company also packages the model in multiple sizes (for example, gpt-5, gpt-5-mini and gpt-5-nano) so developers can trade off latency, cost and capability.

Key Enhancements

  • Unified Reasoning System: It introduces an intelligent real-time router that directs tasks between reasoning and non-reasoning modes automatically, relieving users from manual model switching .
  • Breakthrough Performance: The model achieves state-of-the-art benchmarks in areas like coding, math, visual perception, and health assessments .While early reviewers note improvements over GPT-4, some suggest the jump may be less dramatic than past model transitions.
  • Developer-Focused API Enhancements: A comprehensive API release includes optimized versions—gpt-5, gpt-5-mini, and gpt-5-nano—offering a range of performance, cost, and latency options .
    New API parameters such as verbosity and reasoning_effort, along with support for custom tools and massive context windows (up to 400K tokens), enable deeper customization and flexibility .
  • Expanded Intelligent Applications: It is integrated into various Microsoft products—including GitHub Copilot, Visual Studio, and Azure services—expanding its presence across enterprise and development workflows.

OpenAI now ships five named variants (three exposed in the public API):

  1. GPT-5 (standard) — default model in ChatGPT, balanced latency vs. power.
  2. GPT-5-mini — 35 % cheaper, 1.7× faster; automatically used once free-tier quotas are exhausted.
  3. GPT-5-nano — smallest, API-only, designed for mobile and IoT back ends.
  4. GPT-5-pro — (enhanced reasoning for complex tasks). Free users default to GPT‑5 and mini, Plus users enjoy higher quotas, and Pro subscribers gain full access including GPT‑5‑pro and thinking modes.
  5. GPT-5-chat-latest — non-reasoning version tuned purely for conversational UX.

GPT‑5 offers extended context: up to 400K tokens input and 128K tokens output. Pricing (USD per million tokens),Input / output:

  • GPT-5 $1.25 / $10.00
  • mini $0.25 / $ 2.00
  • nano $0.05 / $ 0.40

Impressive Performance Across Domains

GPT‑5 significantly outperforms earlier models in various fields:

  • Coding: SCORES of 74.9% on SWE‑bench Verified and 88% on Aider Polyglot;
  • Writing: Captures literary rhythm and nuanced structures like free verse or iambic lines more reliably;
  • Health: Functions as a thoughtful advisor—scoring higher on HealthBench, prompting clarifications, and offering tailored responses while advising users to consult professionals;
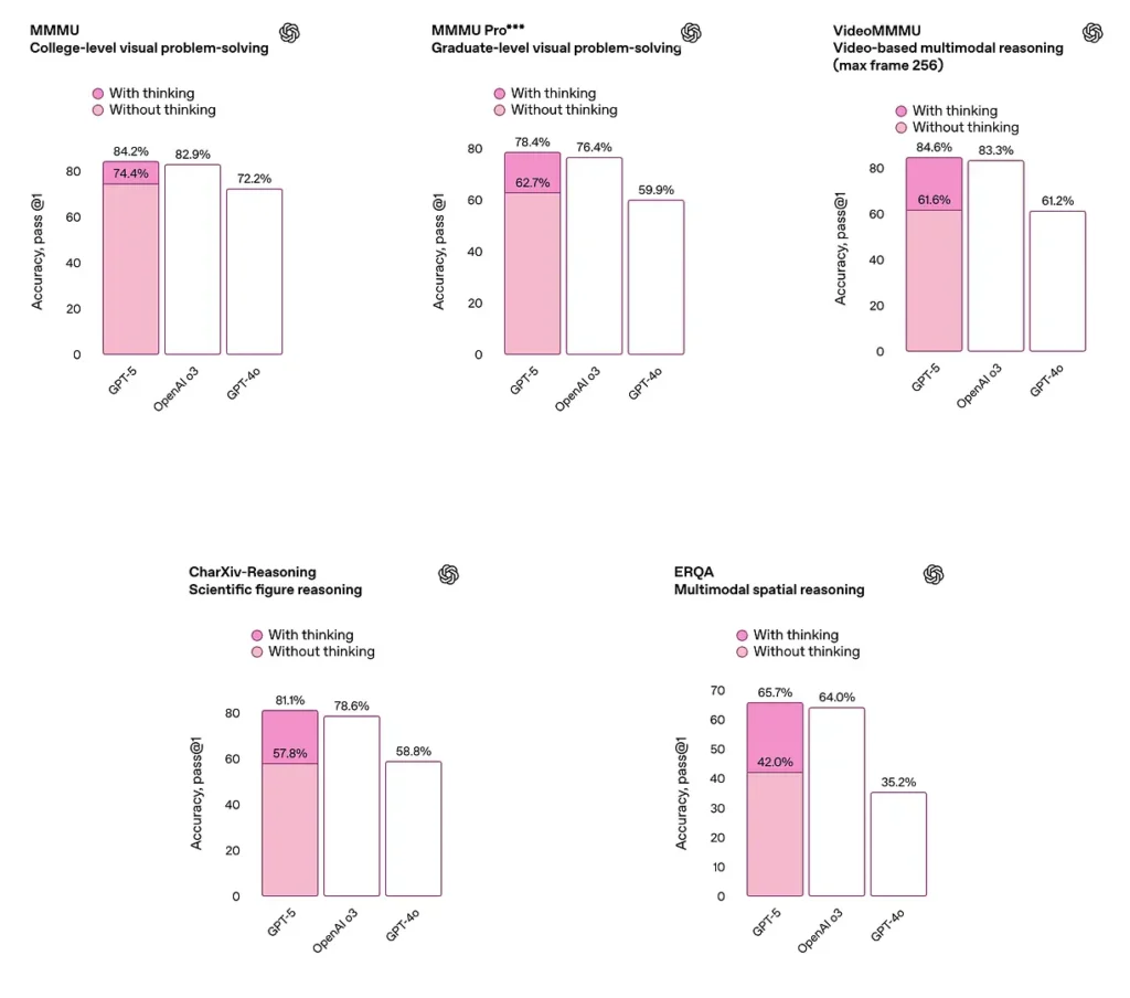
  • Multimodal: Excels at analyzing text, images, and video inputs, enhancing visual reasoning and perception.

gpt-5-data


In the community-run LM Arena leaderboard (snapshot as of July 9, 2025), it ranked first in every category, beating Gemini 2.5 Pro by 75 points and Anthropic Claude Opus 4 by 100 points in the Web-Dev Arena subset.

gpt5-data2

Enhanced Safety and Trust

(1) Factual Accuracy

  • Compared to GPT-4o, the hallucination rate is reduced by about 45%.
  • Compared to o3, it is reduced by about 80% in reasoning mode.

In the LongFact and FActScore benchmarks, the hallucination rate in reasoning mode is 6 times less than that of o3.

(2) Honesty and Self-awareness

Feedback on unfinished tasks is more accurate; the rate of “confident random answers” under missing conditions is reduced from 4.8% to 2.1%.

(3) Security Strategy

Introducing the safe completions security training mechanism:

  • Answer as much as possible within the safe range instead of directly rejecting;
  • When it is necessary to reject, the reason will be explained and an alternative solution will be provided.

Perform multi-layer security protection for high-risk fields (biology, chemistry):

  • Threat modeling
  • Safe generation training
  • Real-time classifier and reasoning monitoring
  • Execution pipeline protection

Advantages — Why GPT-5 Matters

  1. Much longer context handling. The 272k+ input window lets GPT-5 operate on entire books, long codebases, or months of chat history without truncation—this reduces information loss and enables new applications like document-scale analysis and multi-document synthesis.
  2. Adaptive compute for efficiency. The router + multi-variant approach gives developers the convenience of a single API surface while reducing cost and latency for routine queries and reserving heavy compute for genuinely hard problems.
  3. Stronger developer tooling. Better code generation, debugging and repo-level reasoning can directly accelerate software development and automation.
  4. Enterprise focus. OpenAI emphasizes reliability, controls and integrations (including Microsoft/Azure channels), signaling a push to embed higher-capability models into business workflows at scale.

Release and Usage

  • GPT-5 has become the new default model for ChatGPT, replacing GPT-4o, o3, o4-mini, 4.1, and 4.5.
  • Free users have a usage quota (if exceeded, they will switch to GPT-5 mini).Plus/Pro users can select old models.
  • Plus/Pro/Team/Enterprise/Edu users can use it with a higher quota for a long period of time; Pro users can use GPT-5 Pro.
  • Supports programming in the Codex CLI.

GPT-5 Usage Limits in ChatGPT

Free – 10 GPT-5 messages every 5 hours, then use the mini-model, and one additional GPT-5 thinking message per day

Plus – 80 GPT-5 messages every 3 hours, then use the mini-model, and up to 200 manual GPT-5 thinking messages per week. Automatic switching from GPT-5 to thinking does not count towards the weekly limit and can be used even after the limit is reached.

Team/Pro – Unlimited access to the GPT-5 model

Supported Features:

Support for the Responses API, Chat Completions API, and Codex CLI.

Includes parallel tool invocation, built-in tools (web search, file search, image generation, etc.), streaming, structured output, prompt caching, and a Batch API.

Activate GPT-5 Thinking Mode

Cue: Please think step-by-step or Think deeply before answering

While GPT-5 does not yet achieve full AGI, OpenAI positions it as a critical milestone on that journey. The company plans to refine safety protocols using reinforcement learning from AI feedback, aiming to further reduce erroneous outputs and reinforce ethical guardrails . As adoption spreads from individual users to large organizations, it is poised to reshape workflows across sectors, heralding what Altman calls “the new era of AI-powered work.”

Use GPT-5 in CometAPI

CometAPI is a unified API platform that aggregates over 500 AI models from leading providers—such as OpenAI’s GPT series, Google’s Gemini, Anthropic’s Claude, Midjourney, Suno, and more—into a single, developer-friendly interface. By offering consistent authentication, request formatting, and response handling, CometAPI dramatically simplifies the integration of AI capabilities into your applications. Whether you’re building chatbots, image generators, music composers, or data‐driven analytics pipelines, CometAPI lets you iterate faster, control costs, and remain vendor-agnostic—all while tapping into the latest breakthroughs across the AI ecosystem.

Today, we are excited to announce the availability of Open AI’s new flagship model gpt-5 series, from OpenAI in CometAPI.

Developers can access GPT-5 ,GPT-5 Nano and GPT-5 Mini through CometAPI, the latest models version listed are as of the article’s publication date. To begin, explore the model’s capabilities in the Playground and consult the API guide for detailed instructions. Before accessing, please make sure you have logged in to CometAPI and obtained the API key. CometAPI offer a price far lower than the official price to help you integrate.

Ready to start building workflows ? Let’s get started!

Discussion