🙄
RustでChainedHashTableを実装してみる
概要
「みんなのデータ構造」という本を読んでいて、Rustの練習に良さそうなので、色々書いてみる。
この記事ではChainedHashTableを実装。
ChainedHashTableとは
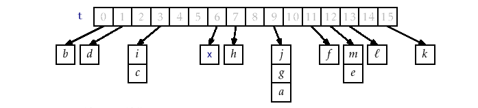
ChainedHashTableはハッシュテーブルの一種で、ハッシュの衝突を「チェイン法」を使って解決する。
ハッシュテーブルをtとした時、ハッシュテーブルに格納されるデータは、各ハッシュ値のデータ格納領域(バケット)が持つリスト(リンクリスト)に格納される。

https://opendatastructures.org/ods-java/5_1_ChainedHashTable_Hashin.html
5.1 ChainedHashTable: Hashing with Chaining
実装
インターフェース
trait USet<T> {
fn new() -> Self;
fn add(&mut self, element: T) -> bool;
fn find(&self, element: &T) -> Option<&T>;
fn remove(&mut self, element: &T) -> Option<T>;
}
USetインタフェースを持つ。
データ構造
array<List> t;
int n;
リストを持つ配列t(ハッシュテーブル)とデータ数nを持つ。
#[derive(Debug)]
struct ChainedHashTable<T: std::fmt::Debug + Hash + Eq> {
table: Vec<Vec<T>>,
size: usize,
}
tableが持つのは、リンクリストが一般的のようだが、rustのVectorを使ってデータを持つようにする。
ハッシュ(乗算ハッシュ法)
impl<T: std::fmt::Debug + Hash + Eq> USet<T> for ChainedHashTable<T> {
fn new() -> Self {
let mut hash_table = Self {
table: Vec::new(),
size: 0,
};
// テーブルの初期化(ハッシュテーブルは2^D個のバケットを持つ)
for _ in 0..(1 << (Self::D)) {
hash_table.table.push(Vec::new());
}
hash_table
}
...
impl<T: std::fmt::Debug + Hash + Eq> ChainedHashTable<T> {
// zは{1, 3, ..., 2^W - 1}の奇数から選択した定数
const Z: u64 = 4102541685;
// Wはハッシュ値のビット数を表す(32ビット)
const W: u64 = 32;
// Dは2^D個のバケットを持つハッシュテーブルを表す(2^D = 8ビット)
const D: u64 = 8;
// 乗算ハッシュ法によるハッシュ値の計算
// 計算式: (Z * hash_code) % 2^W >> (W - D)
fn hash(&self, element: &T) -> u64 {
// データのハッシュ値を計算
let mut hasher = DefaultHasher::new();
element.hash(&mut hasher);
let hash_code = hasher.finish();
let hash = Self::Z.wrapping_mul(hash_code);
(hash % (1 << Self::W)) >> (Self::W - Self::D)
}
}
ハッシュの計算は、乗算ハッシュ法を使う。
ある定数Zと格納する値のハッシュ値(hash)を乗算し、2^Wで剰余を出す。
その値を
テーブルは、
データの追加
fn add(&mut self, element: T) -> bool {
if self.find(&element).is_some() {
return false;
}
let hash = self.hash(&element);
self.table[hash as usize].push(element);
self.size += 1;
true
}
データの追加は、データからhashを求めてテーブルのバケットを特定しデータを追加する。
データの検索
fn find(&self, element: &T) -> Option<&T> {
let hash = self.hash(element);
let list = &self.table[hash as usize];
for i in 0..list.len() {
let node = list.get(i).unwrap();
if *node == *element {
return Some(node);
}
}
None
}
データの検索は、hashからバケットを求め、キーが衝突しているデータから対象を検索する。
データの削除
fn remove(&mut self, element: &T) -> Option<T> {
let hash = self.hash(element);
let list = &mut self.table[hash as usize];
for i in 0..list.len() {
let node = list.get(i).unwrap();
if *node == *element {
self.size -= 1;
return Some(list.remove(i));
}
}
None
}
データの検索とほぼ変わらない。
コード全体
コード
use std::{
collections::hash_map::DefaultHasher,
hash::{Hash, Hasher},
};
trait USet<T> {
fn new() -> Self;
fn add(&mut self, element: T) -> bool;
fn find(&self, element: &T) -> Option<&T>;
fn remove(&mut self, element: &T) -> Option<T>;
}
#[derive(Debug)]
struct ChainedHashTable<T: std::fmt::Debug + Hash + Eq> {
table: Vec<Vec<T>>,
size: usize,
}
impl<T: std::fmt::Debug + Hash + Eq> USet<T> for ChainedHashTable<T> {
fn new() -> Self {
let mut hash_table = Self {
table: Vec::new(),
size: 0,
};
for _ in 0..(1 << (Self::D)) {
hash_table.table.push(Vec::new());
}
hash_table
}
fn add(&mut self, element: T) -> bool {
if self.find(&element).is_some() {
return false;
}
let hash = self.hash(&element);
self.table[hash as usize].push(element);
self.size += 1;
true
}
fn find(&self, element: &T) -> Option<&T> {
let hash = self.hash(element);
let list = &self.table[hash as usize];
for i in 0..list.len() {
let node = list.get(i).unwrap();
if *node == *element {
return Some(node);
}
}
None
}
fn remove(&mut self, element: &T) -> Option<T> {
let hash = self.hash(element);
let list = &mut self.table[hash as usize];
for i in 0..list.len() {
let node = list.get(i).unwrap();
if *node == *element {
self.size -= 1;
return Some(list.remove(i));
}
}
None
}
}
impl<T: std::fmt::Debug + Hash + Eq> ChainedHashTable<T> {
// zは{1, 3, ..., 2^W - 1}の奇数から選択した定数
const Z: u64 = 4102541685;
// Wはハッシュ値のビット数を表す(32ビット)
const W: u64 = 32;
// Dは2^D個のバケットを持つハッシュテーブルを表す(2^D = 8ビット)
const D: u64 = 8;
// 乗算ハッシュ法によるハッシュ値の計算
// 計算式: (Z * hash_code) % 2^W >> (W - D)
fn hash(&self, element: &T) -> u64 {
// データのハッシュ値を計算
let mut hasher = DefaultHasher::new();
element.hash(&mut hasher);
let hash_code = hasher.finish();
let hash = Self::Z.wrapping_mul(hash_code);
(hash % (1 << Self::W)) >> (Self::W - Self::D)
}
}
fn main() {
let mut hash_table = ChainedHashTable::<i32>::new();
// 数値の格納
for i in 1..=1000 {
hash_table.add(i);
}
for i in 1..=500 {
hash_table.remove(&i);
}
println!("{:?}", hash_table.find(&501));
println!("{:?}", hash_table.find(&1));
let mut hash_table = ChainedHashTable::<String>::new();
hash_table.add("hello".to_string());
hash_table.add("world".to_string());
hash_table.add("rust".to_string());
hash_table.add("go".to_string());
hash_table.add("c".to_string());
hash_table.add("c++".to_string());
hash_table.add("java".to_string());
hash_table.add("kotlin".to_string());
hash_table.add("swift".to_string());
hash_table.add("python".to_string());
hash_table.remove(&"python".to_string());
println!("{:?}", hash_table.find(&"hello".to_string()));
println!("{:?}", hash_table.find(&"python".to_string()));
}
Discussion