OpenAIのPrismを試してみる
はじめに
OpenAIが Prismというツールをリリースした。イメージ的には Overleaf + ChatGPT という感じで、LaTeXドキュメントを作成するのに役立つAIアシスタントである。普段はOverleafを使って論文を書いているが、新しいツールを試してみた。
プライバシー
出版前の論文原稿は機密情報なので、プライバシーポリシーの確認は必要であるが、OpenAIのプライバシーポリシーしか見当たらなかった。ChatGPTのアカウントを使って利用するため、ChatGPTの設定が適用されるのだと思うが、明記されている場所は見当たらなかった。実際に執筆に使うには、もう少し調査が必要である。
ドキュメントの作成
新規ドキュメントを作成すると、以下のような感じで編集画面が表示される。使い方の説明文が例文として既に入っているので、何ができるかは分かりやすいが、毎回これなのは邪魔に感じるかも知れない。

Prismのドキュメント編集画面
早速、「IEEE Accessへ投稿したいので、テンプレートを変更してください」と指示してみた。バックエンドはおそらくTeXLiveだと思うが、IEEE Accessのクラスファイルは含まれていない。どうするのかな?と思っていたら、IEEETranクラスを使って以下のように変更してきた。
% NOTE: IEEE Access の公式 LaTeX テンプレートが手元にある場合は、
% ieeeaccess.cls / IEEEaccess.bib 等をプロジェクトに追加して差し替えるのが確実です。
% ここでは Prism 上でそのまま動く「IEEE Access(IEEEtran系)投稿用の骨組み」に変更します。
\documentclass[journal]{IEEEtran}
ここで、最初にあった「Prismとは?」という文章は消えていた。クラスファイルの変更をすると本文も消えてしまうのでは?と少し心配になったが、既発表の原稿で試してみるときちんとクラスファイルの変更だけできたので、自動で入る文章を認識しているのかも知れない。ちょっと面倒な著者情報の部分も自動で更新してくれた。
画像認識
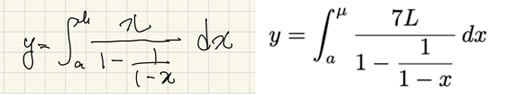
Prismの売りとして紹介されている機能に、画像認識がある。ホワイトボードなどに書いた絵をアップロードすると整形してくれるというものである。試しに以下のような手書きの数式をアップロードしてみた。

手書きの数式とTeXの変換結果
..まぁ字が汚いと読み間違えるよね、という感じである。ここまでやってくれれば十分ではないだろうか?
次に図を変換してみた。

手書きの図とTikzへの変換結果
tikz形式への変換を指定し、しかも別ファイル書き出すように指示した。ちゃんと別ファイルにしてパッケージの依存も追加してくれたのは良いが、図の内容はかなり違っていた。もう少し精度が上がると嬉しい。
日本語対応
XeLaTeXを使った日本語表示は問題ないことはわかっていたが、IEICEやIPSJなどplatexを想定したテンプレートが日本国内ではまだ多いという課題もある。そこで、IPSJやIEICEのテンプレートを試してみた。
結論としてはコンパイルができなった。main.texの先頭に、
% !TEX program = platex
と追加しても .latexmkrcで設定しても無視してpdflatexでコンパイルしようとしてしまう。ここは、日本国内の学会のクラスファイルがXeLaTeXかLuaLaTeXに対応することを期待したい。
なお、英文論文であればXeLaTeXでコンパイルできたりするのだが、graphicxパッケージのオプションを変更する必要はある。
おわりに
複数人での利用を想定したコメント機能や、ChatGPTを使った文章校正など、便利そうな機能がいくつかある。国内学会のクラスファイルの問題もあるので、Overleafからすぐに乗り換えるのは難しいかも知れないが、機能としては面白いと思う。
これは Mac だけの問題ではあるが、チャット部分の入力欄で、日本語変換の確定のつもりでEnterキーを押すと送信されてしまうのは使いにくかった。WebベースのチャットUIではよくある問題で、Enterで確定でずにControl + M で確定するようにすると解決するのではあるが、染みついた癖を修正するのは難しいので、改善されると嬉しい。
Discussion